Plan dela društva
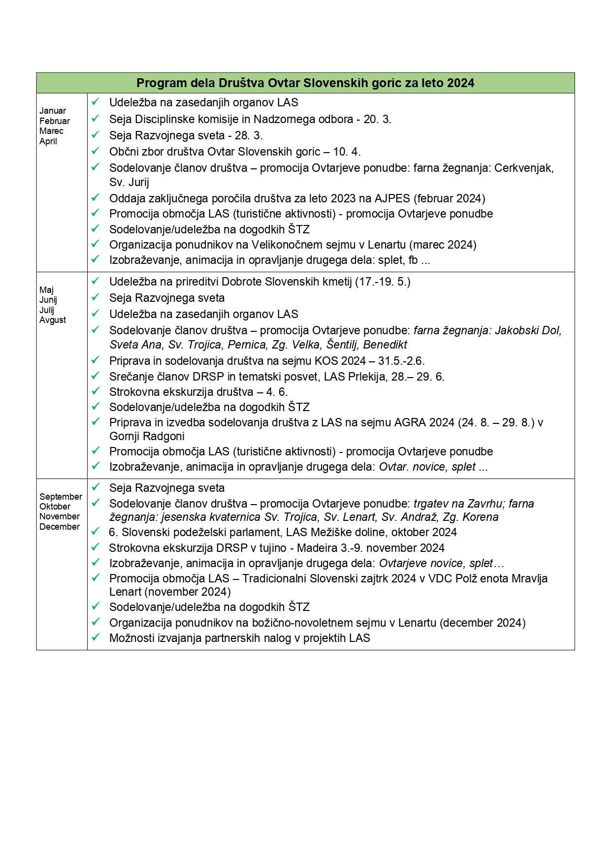
Na 17. občnem zboru, ki je potekal 10. aprila 2024, so člani društva potrdili program dela Društva Ovtar Slovenskih goric za leto 2024:

Na 17. občnem zboru, ki je potekal 10. aprila 2024, so člani društva potrdili program dela Društva Ovtar Slovenskih goric za leto 2024:
